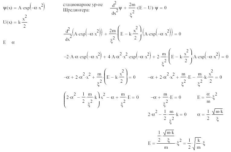
M a r e u x