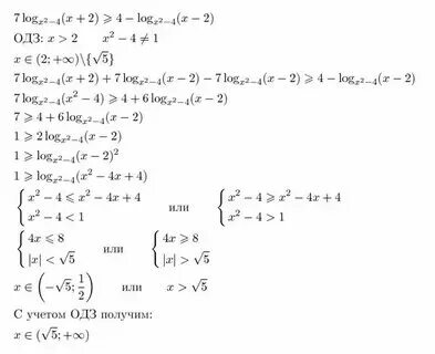
Логарифм от х по основанию 2