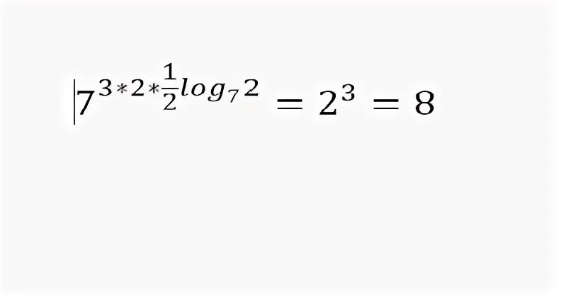
Логарифм 9 по основанию корень из 3