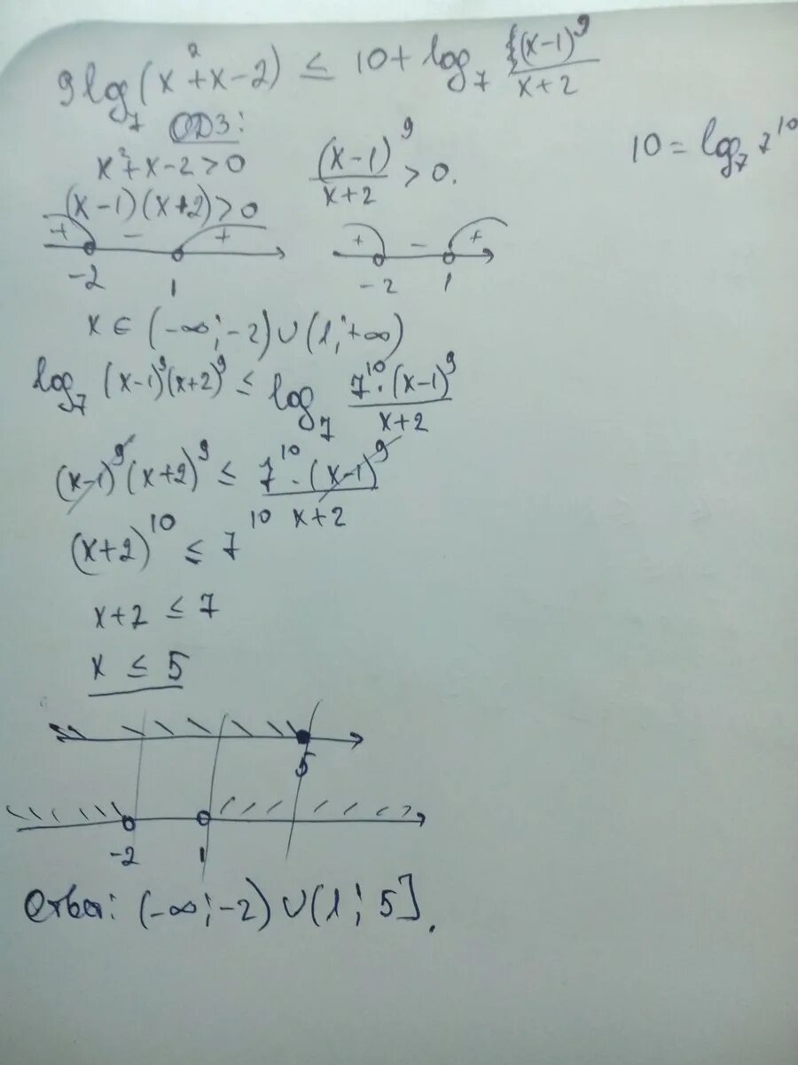
Log7 9 x log7 2