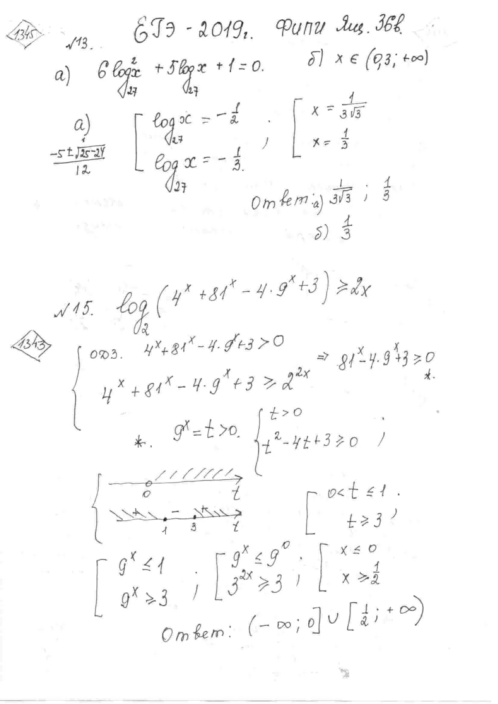
Log5 5x 27 1 log5 x 5