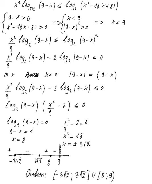
Log x 2 81 2