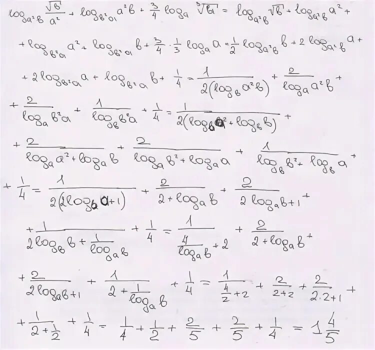
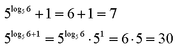
Log по основанию 5 числа 5