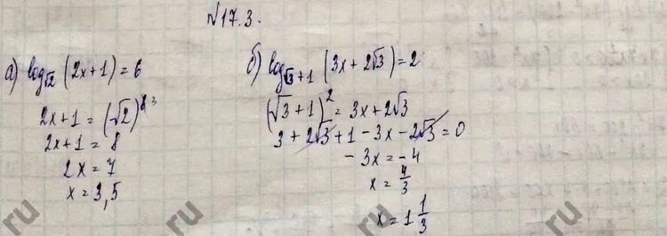
Log корень 3 2x 3 4