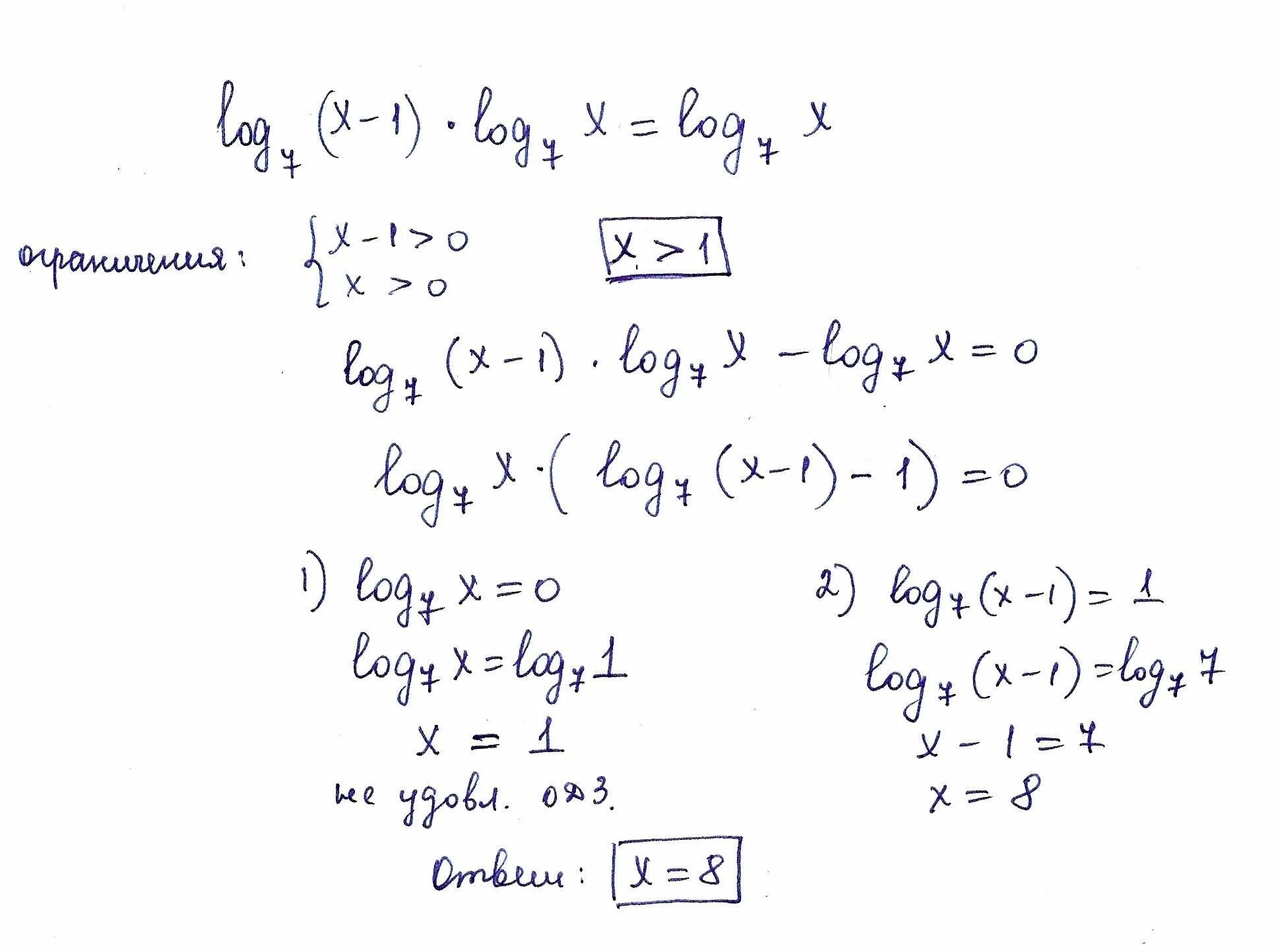
Log 7 1 2x x 0