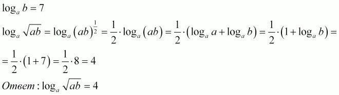
Log 3 корень a b