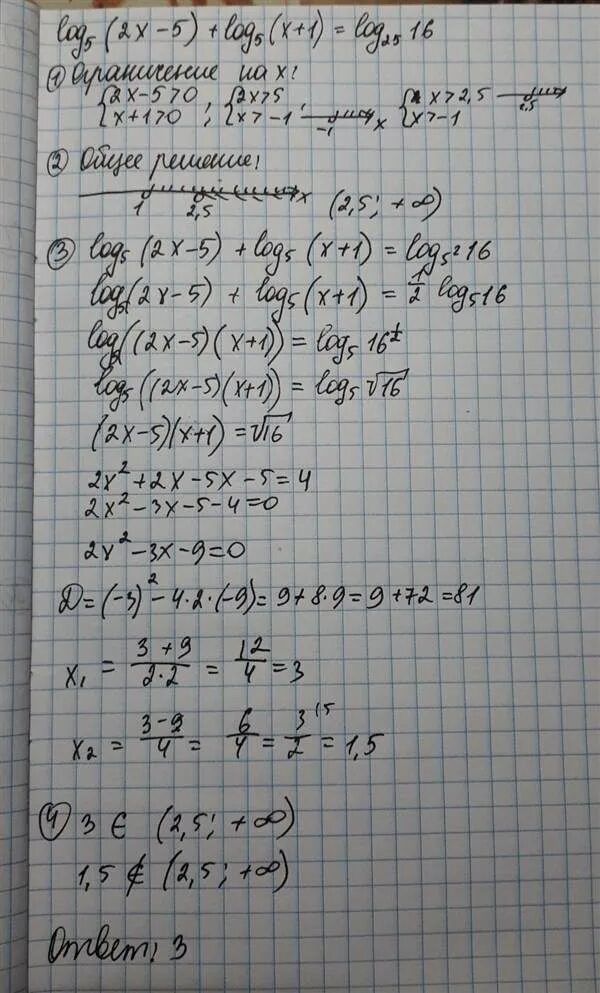
Log 1 5 5 x 2