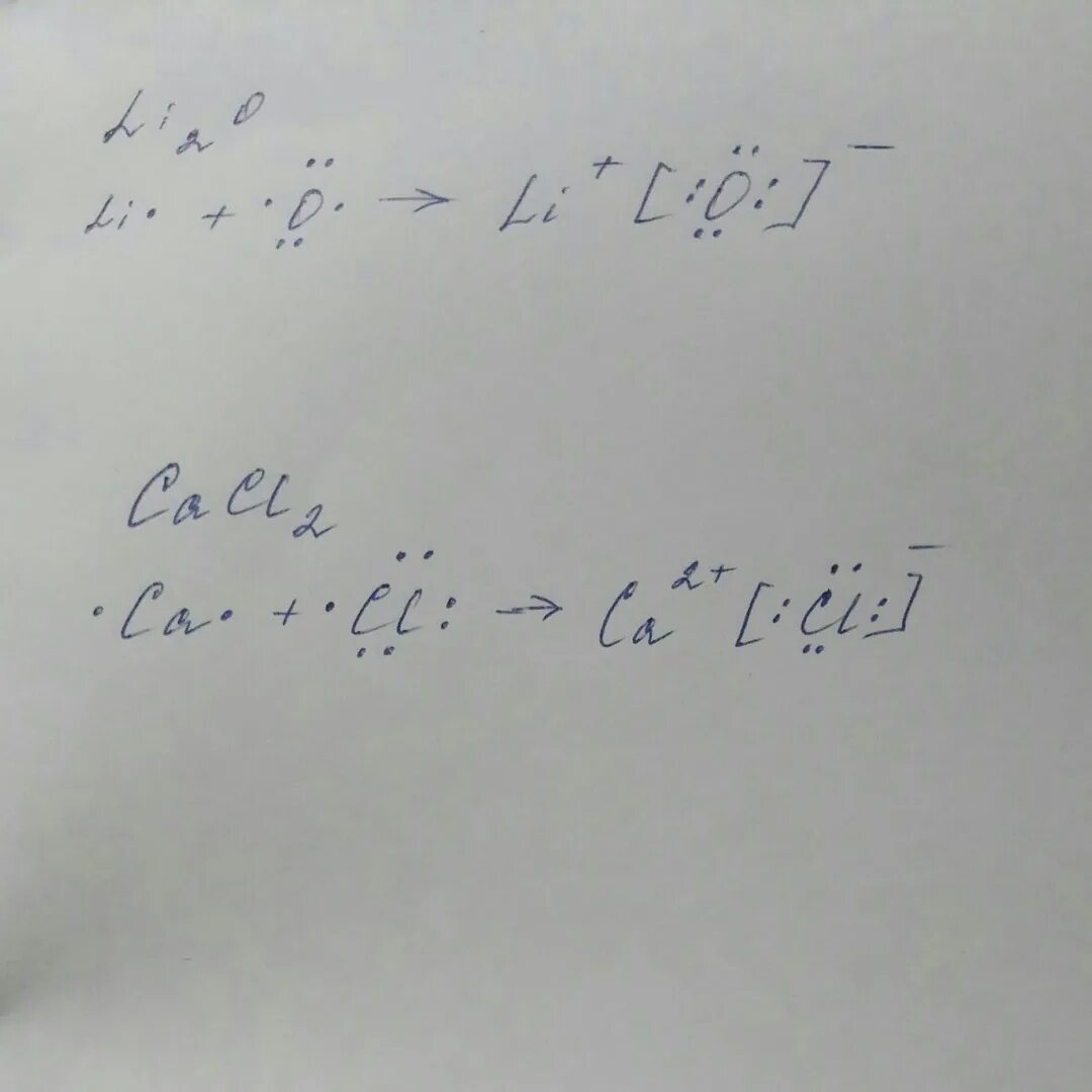
Li o2 li 2 o