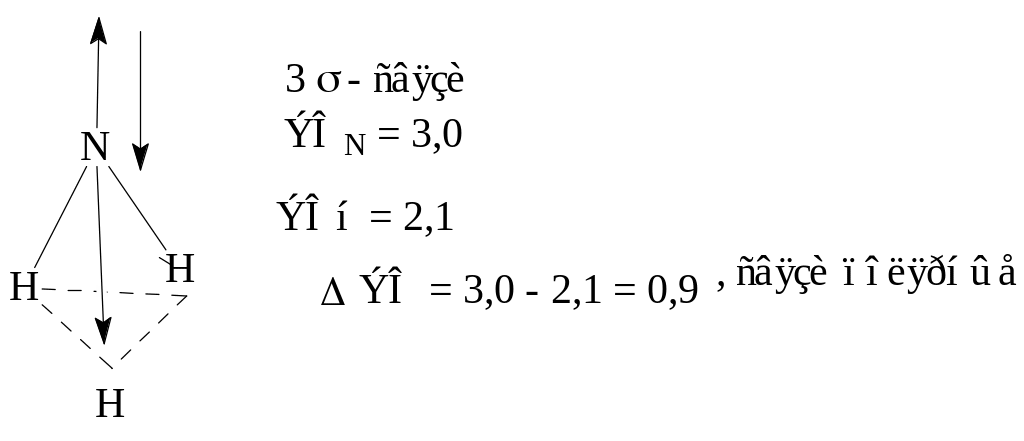
Li cl2 уравнение реакции