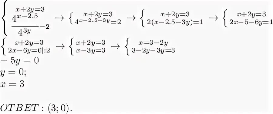
Left x 3 3x 4 right 2