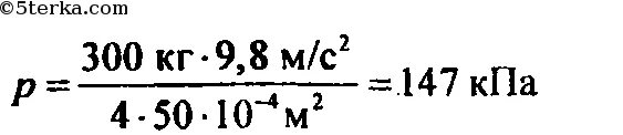
Лед выдерживает давление 8 кпа сможет