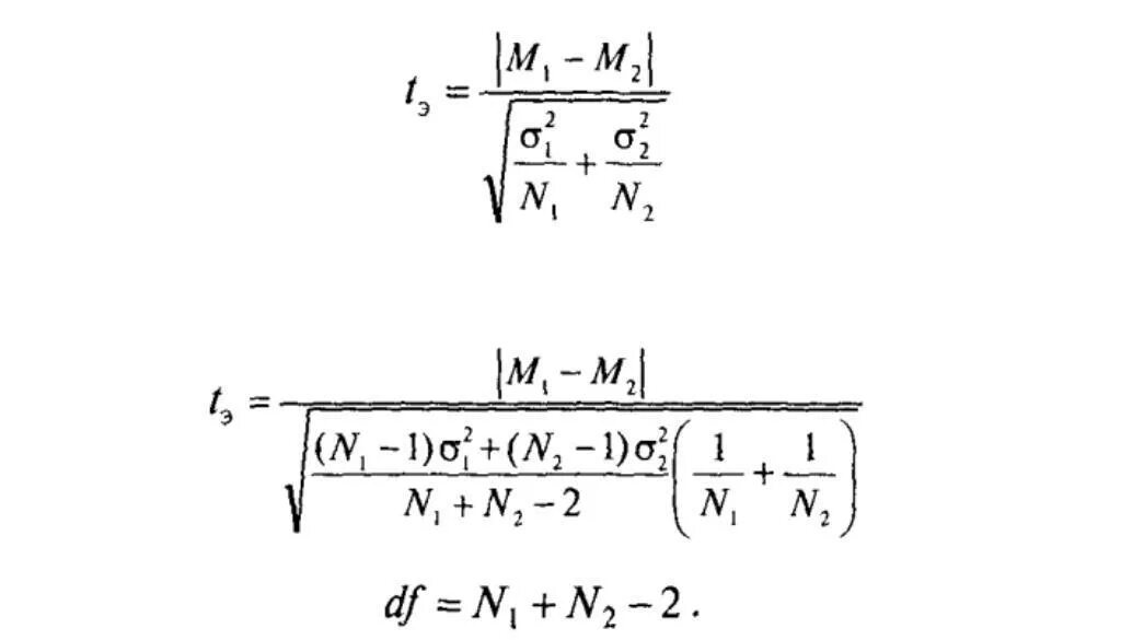
Критерий стьюдента для независимых выборок