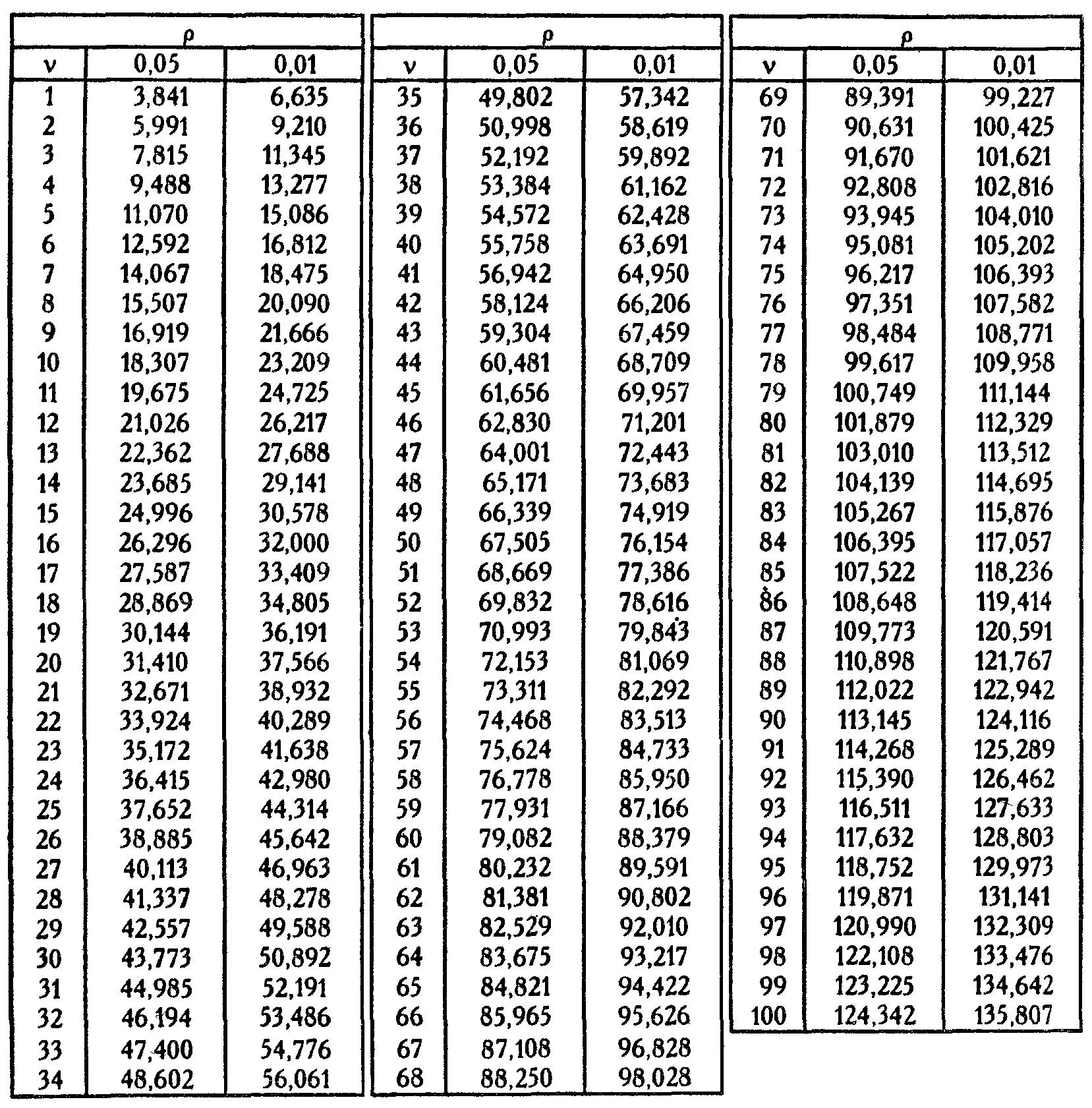
Критерий пирсона уровень значимости