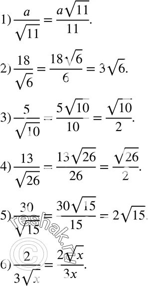
Корень 6 класс вариант 1