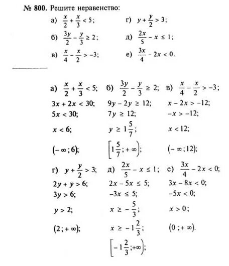
Контрольная работа решение неравенств 8 класс макарычев