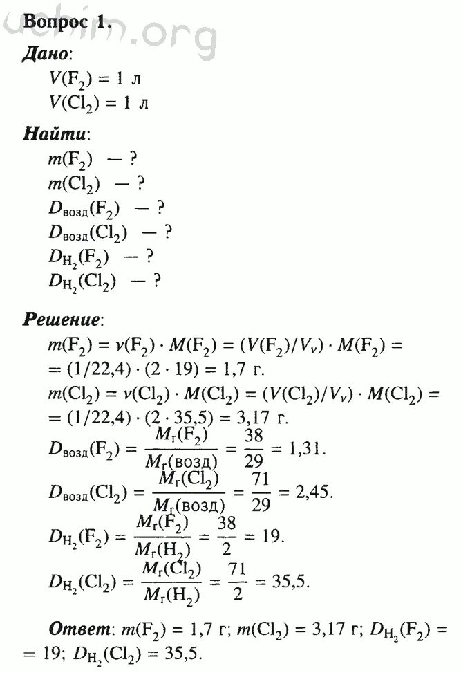
Контрольная работа галогены 9 класс с ответами