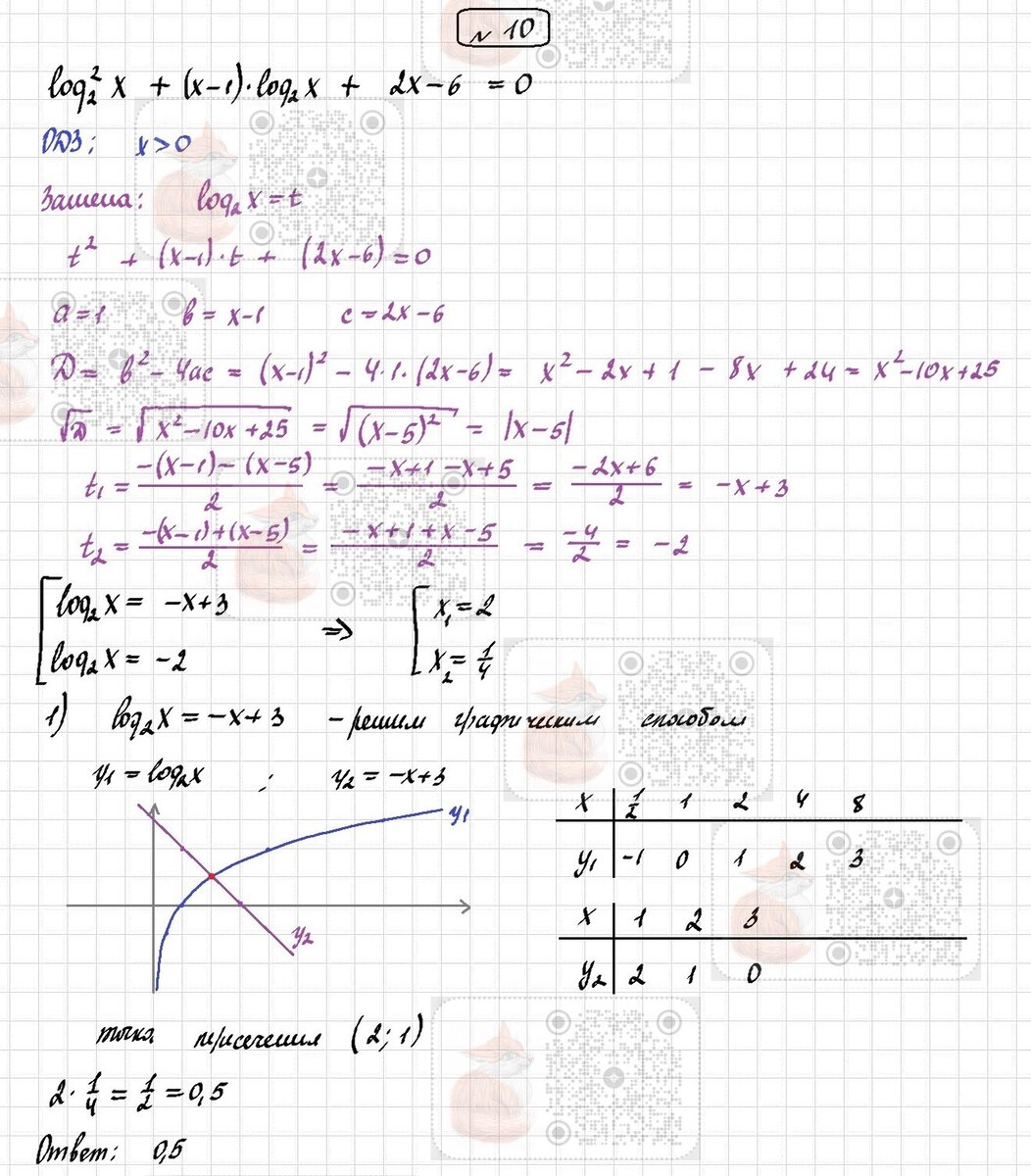
Контрольная работа 10 класс алгебра логарифмическая функция