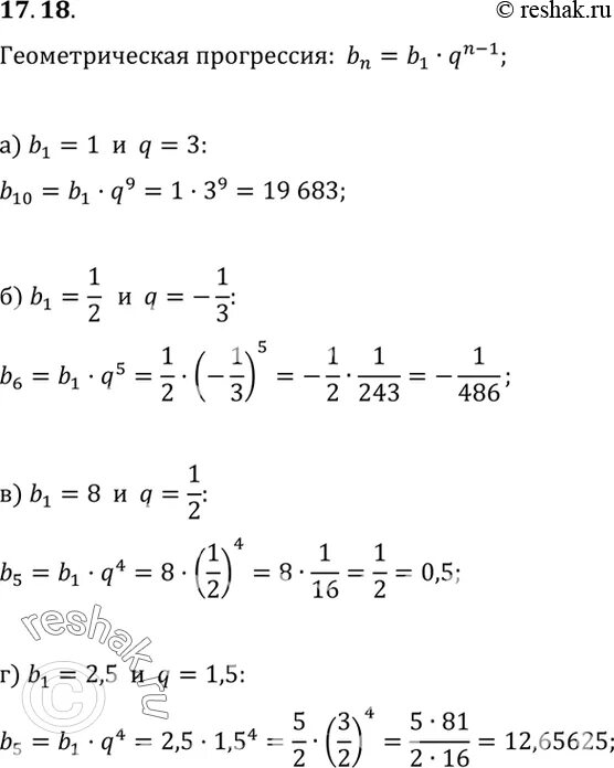
Контрольная работа 1 мордкович 9 класс