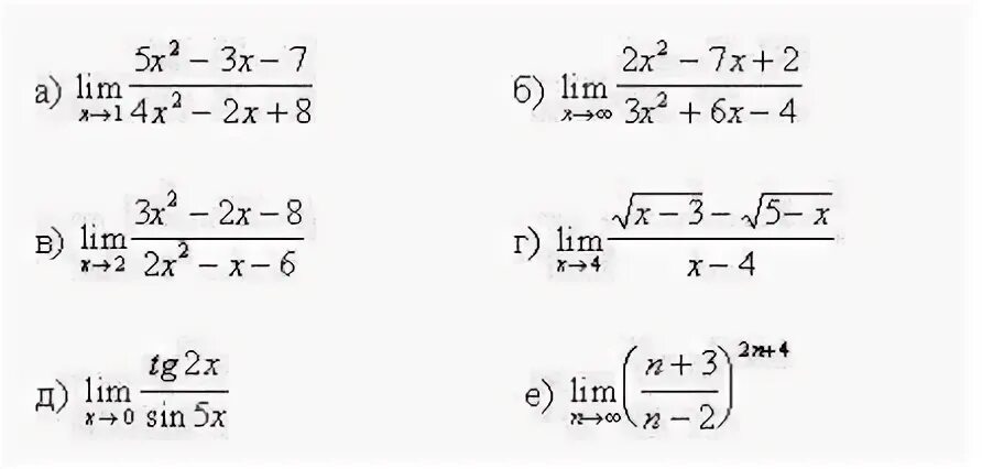
Контрольная по пределам 1 курс