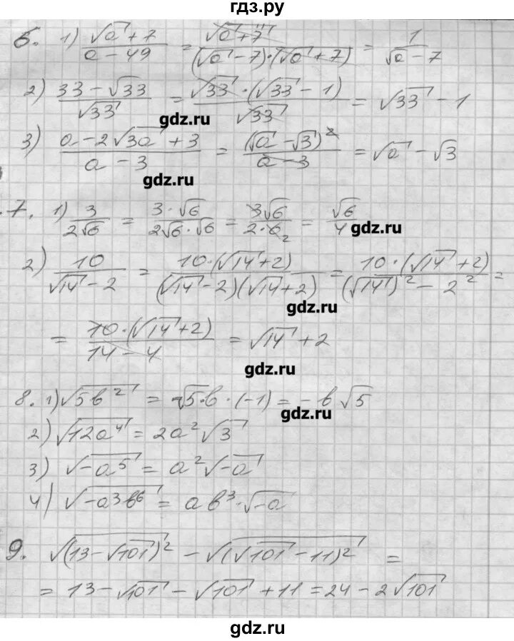
Контрольная 1 мерзляк 9 класс