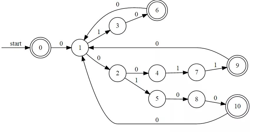
Конечный автомат алгоритм