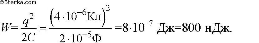
Конденсатор емкостью 10 мкф сообщили заряд