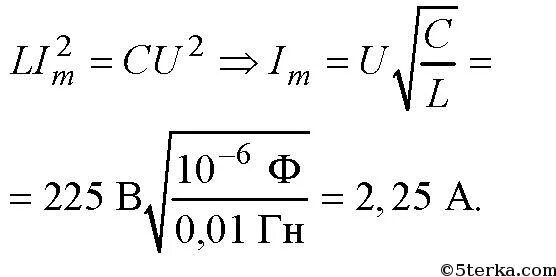
Конденсатор электроемкостью 1мкф