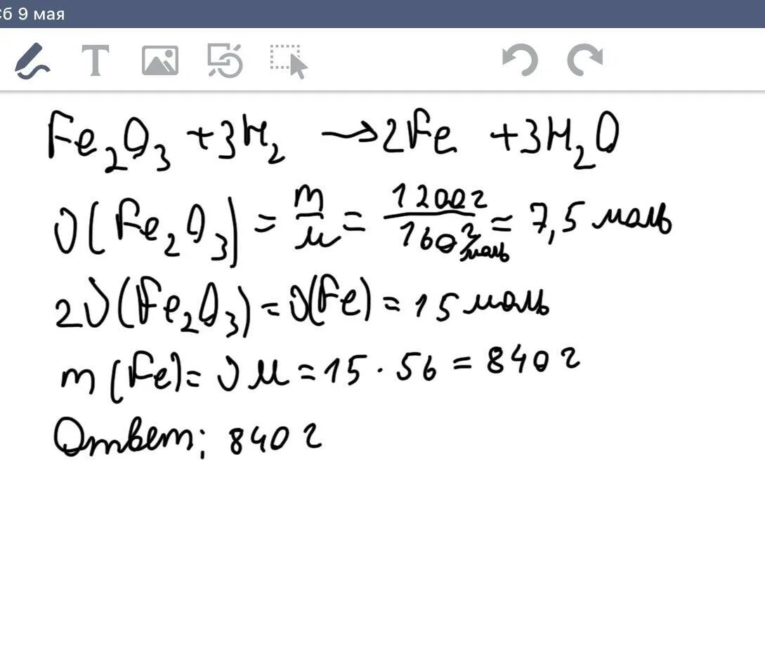
Количество вещества соответствующее 32