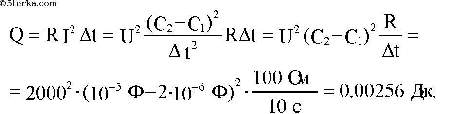
Количество теплоты конденсатора