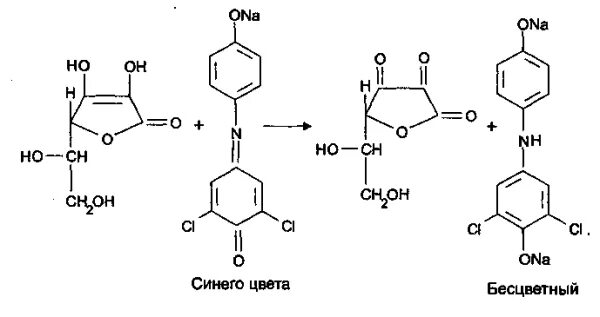
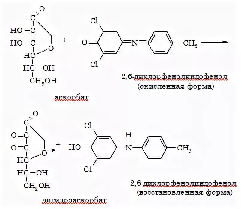
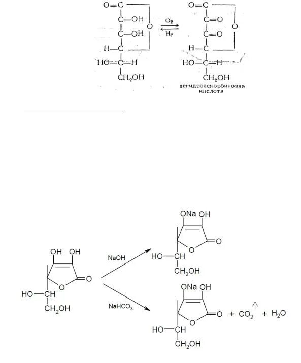
Количественное определение аскорбиновой