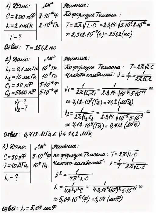
Колебательный контур содержит конденсатор и катушку