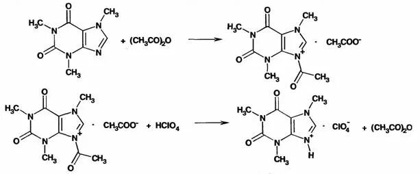
Кофеин количественное определение