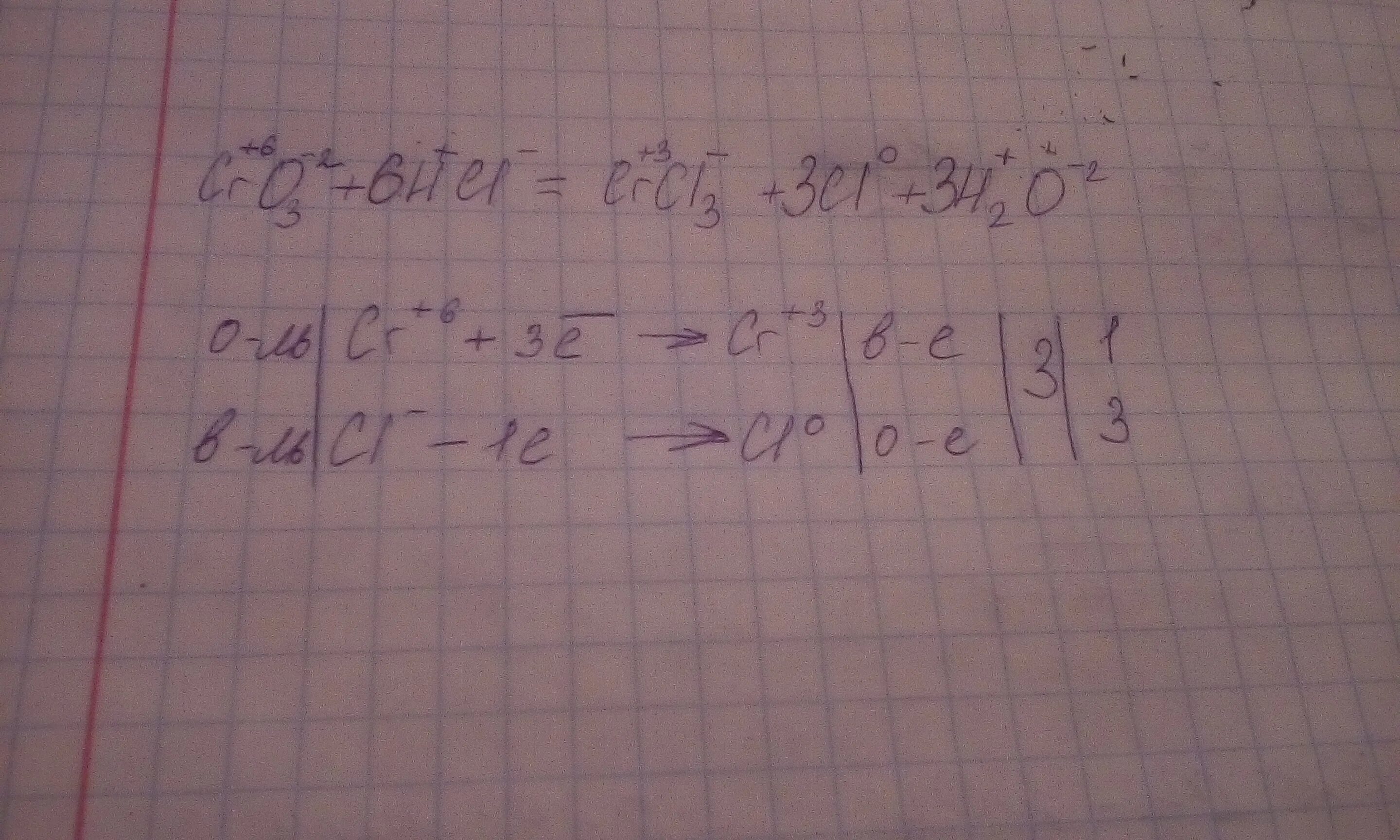
Коэффициент h2 cl2 hcl