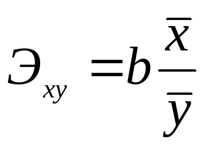
Коэффициент эластичности уравнения регрессии