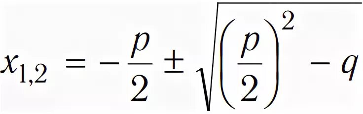
Коэффициент ax