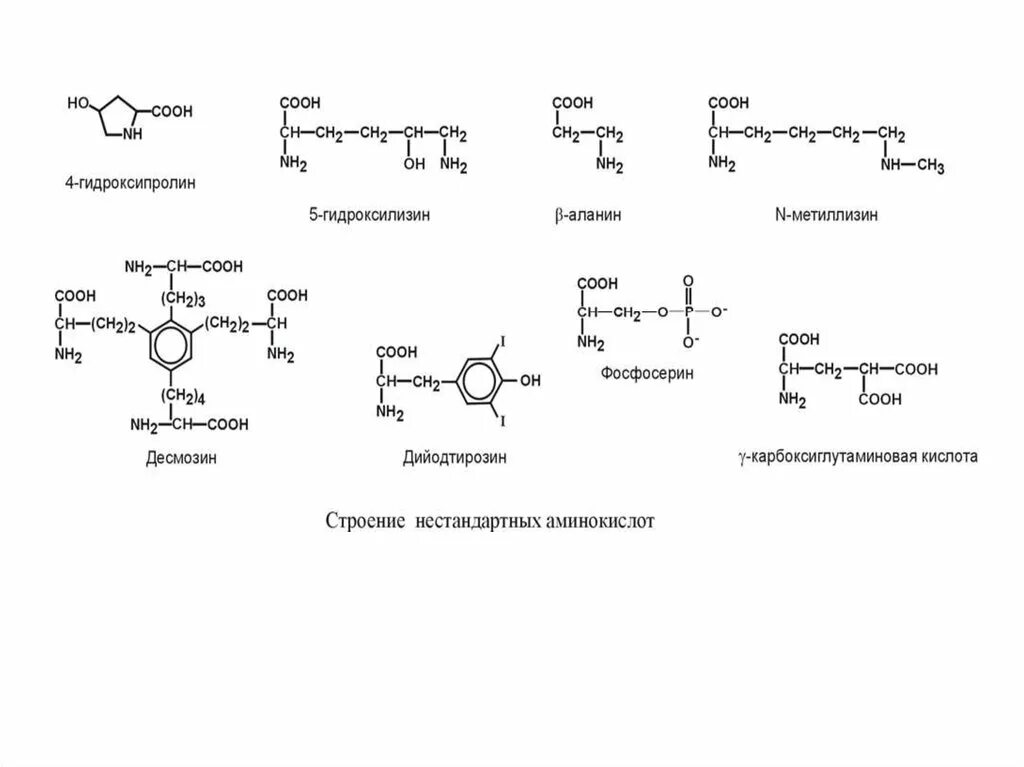
Кодируемые аминокислоты строение