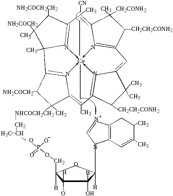
Кобальт входит в состав в12