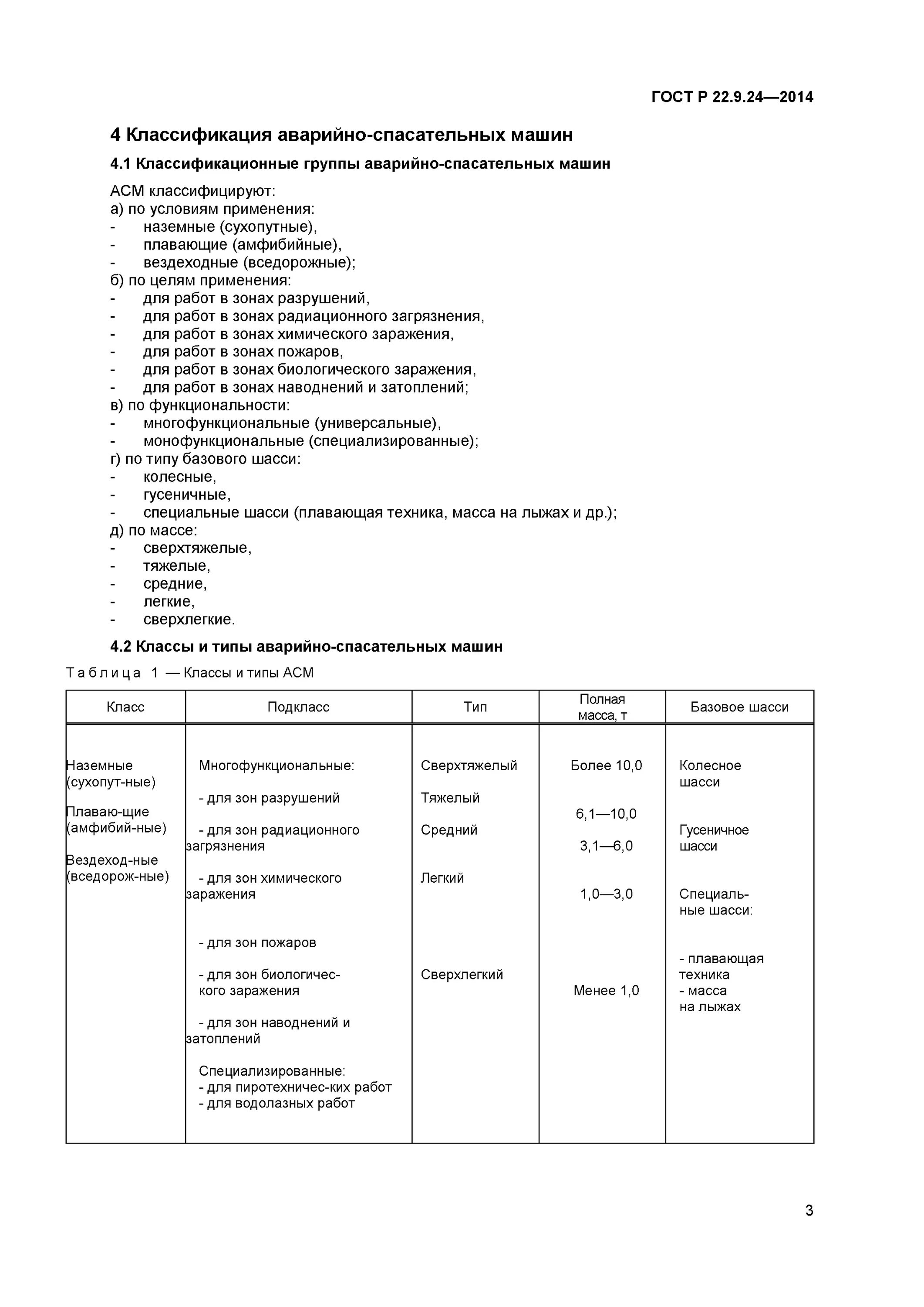
Классификация аварийно спасательных автомобилей