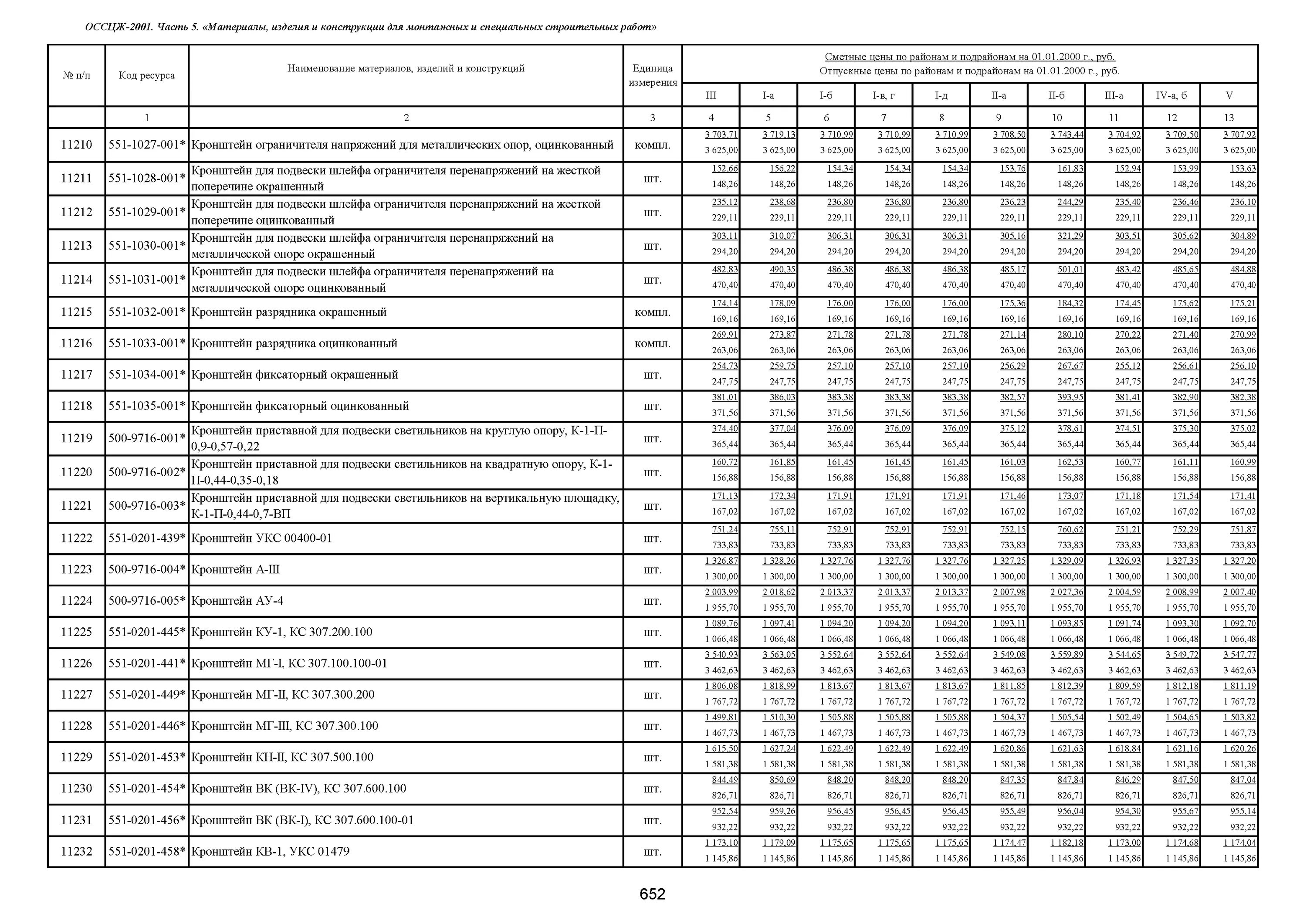
Классификатор код строительного ресурса