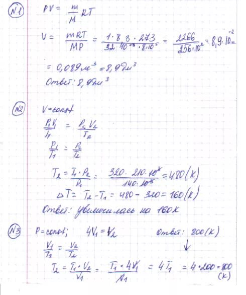
Кислород занимающий при давлении 1 мпа