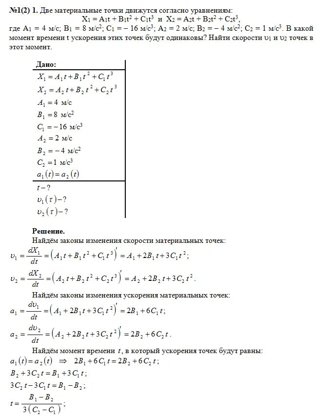
Кинематическое уравнение движения x t имеет вид