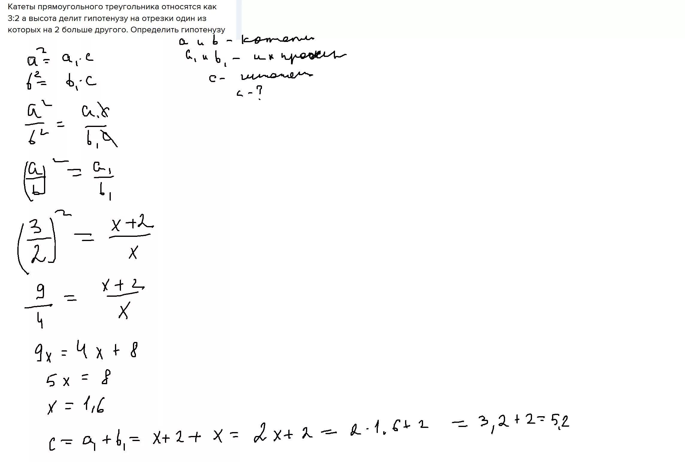
Катеты прямоугольного треугольника относятся как 3