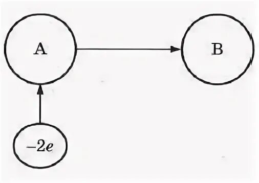
Капля имеющая отрицательный заряд 3е