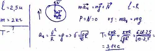
Камень вращается вертикально