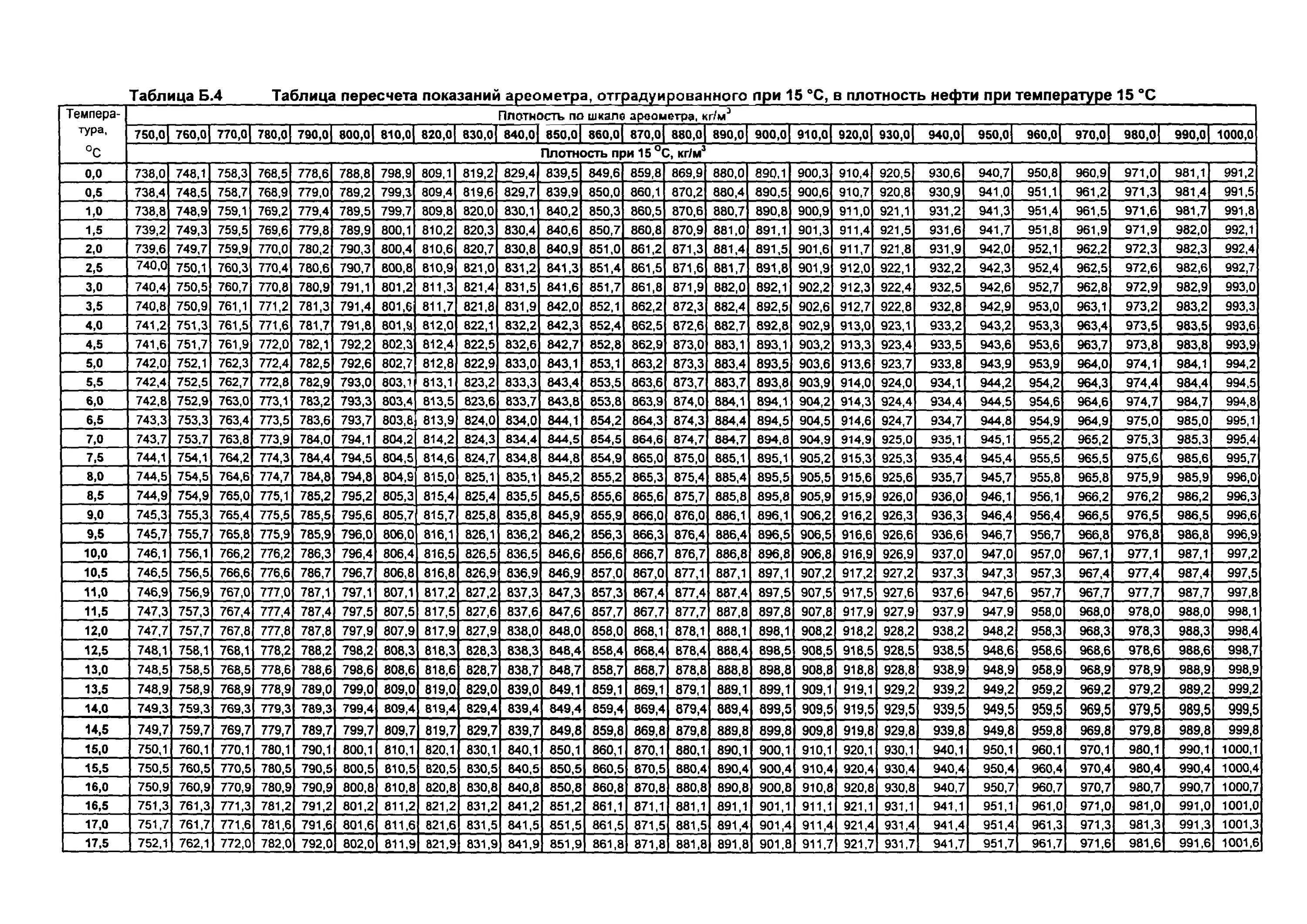
Калькулятор 3900 плотности нефтепродуктов