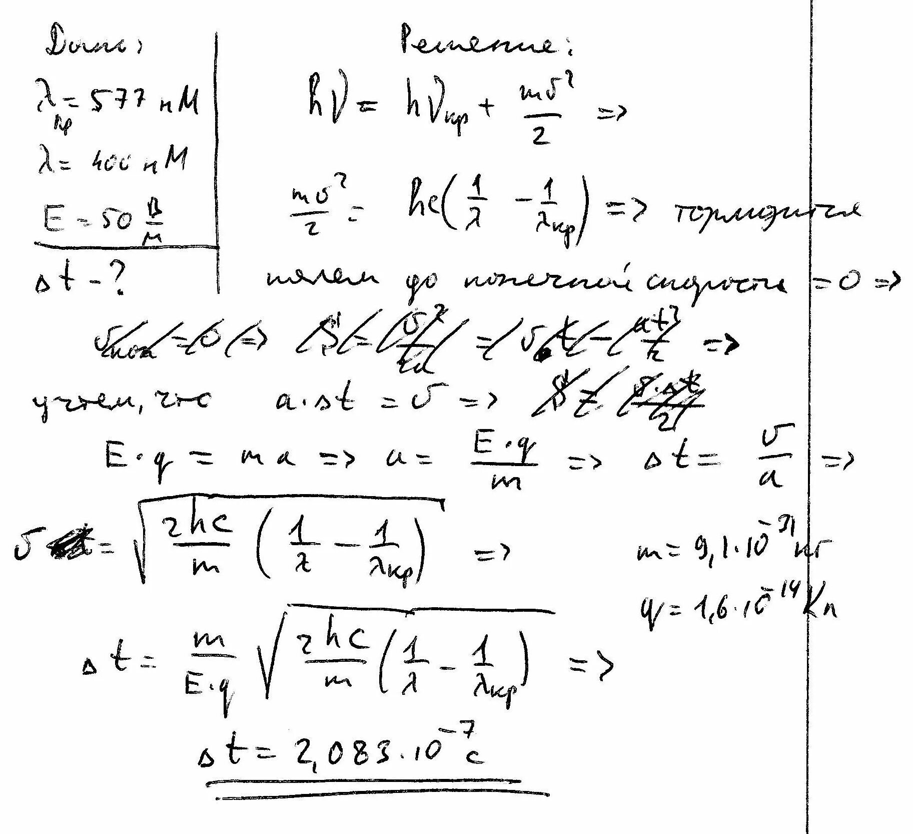
Калий освещается монохроматическим светом