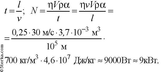
Какую мощность развивает двигатель мотороллера движущегося