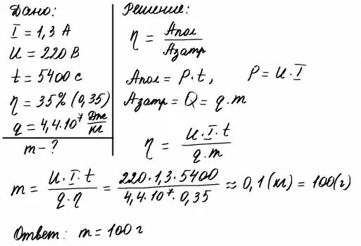
Какую массу нефти нужно сжечь