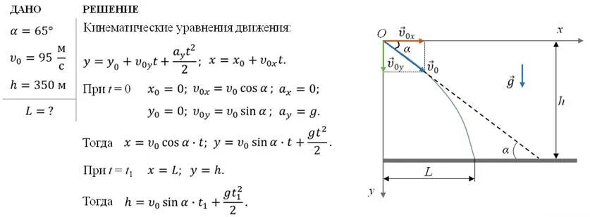
Какой путь проходит свободно падающая