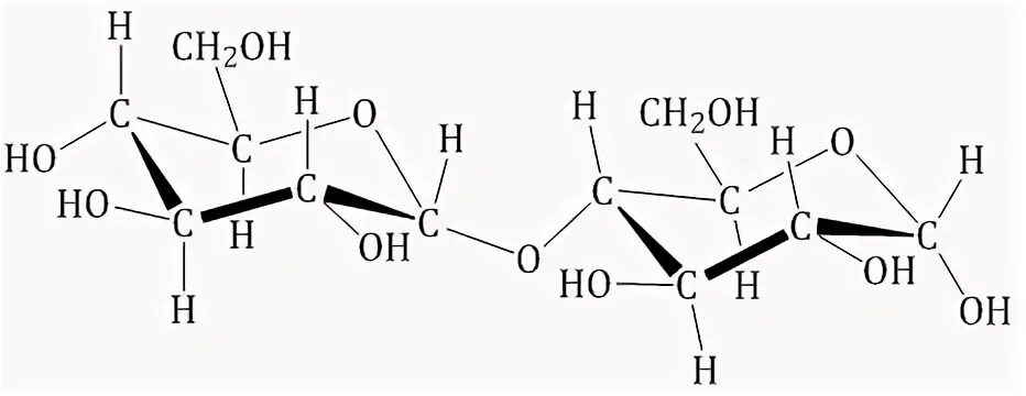
Какой из углеводов не подвергается гидролизу